Measuring the electrochemical performance of batteries

The electrochemical performance of batteries depends on various parameters such as voltage, autonomy, internal resistance, charging and discharging speed, coulombic efficiency and service life.

These performances can vary according to experimental conditions (e.g. ambient temperature or pressure applied to the cell), battery format (button cell or pocket cell), component dimensions (electrode weight and porosity, electrolyte type and quantity, etc.), and battery manufacturing quality (from electrode or electrolyte manufacture to cell assembly).

Our equipment for prototyping and measuring the electrochemical performance of batteries.

Electrode manufacturing

Button cell assembly

Pocket cell assembly

Electrochemical performance measurement

For prices and access to electrochemical battery performance measurement equipment, please contact us by email :

  • Collaboration with numerous industrial manufacturers of materials, components or batteries, and battery users
  • Collaboration with numerous national and international academic laboratories
  • Participation in the ALISTORE and DESTINY networks, and in various PEPR battery, PEPR recycling, ANR and European projects.

Examples and applications

The preparation of batteries in pocket cell format makes it possible to measure the electrochemical performance of a battery material or component under conditions similar to commercial systems. These are semi-industrial prototypes that can be used as demonstrators, and are more reproducible than the button cells usually used in academic laboratories.

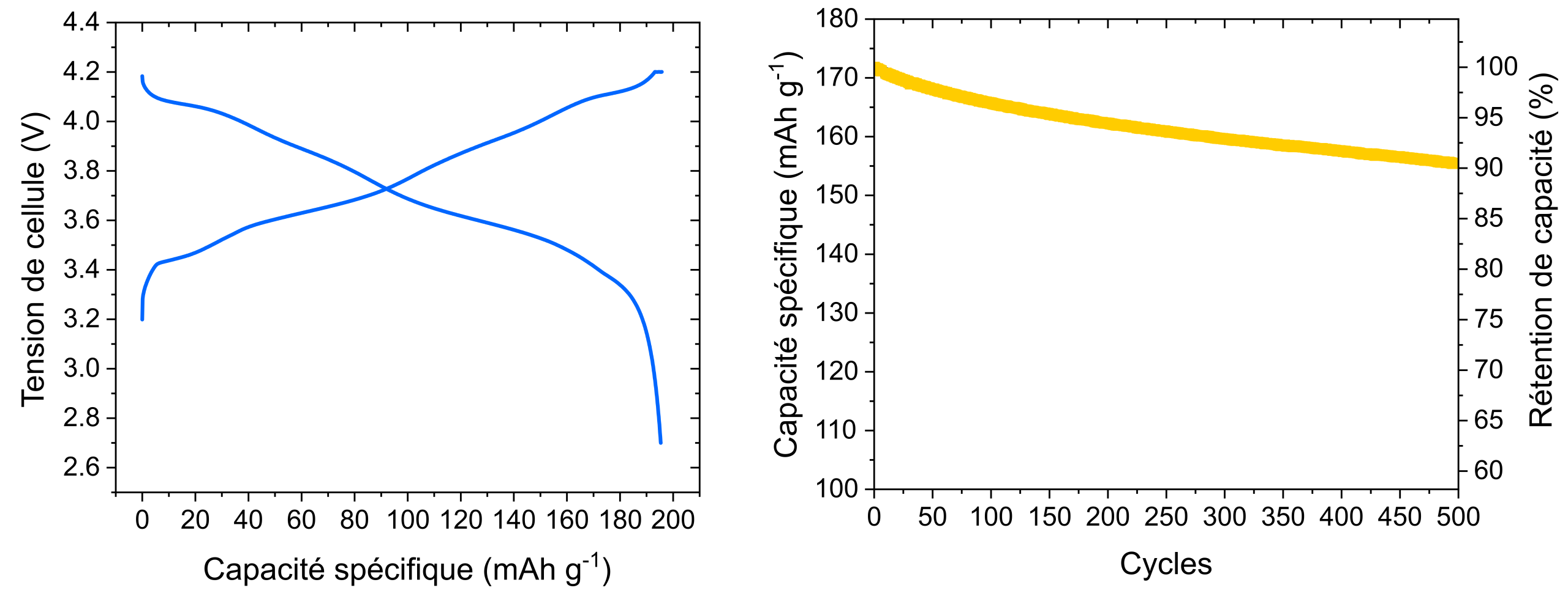
NMC811//Graphite pocket cell charge/discharge cycle and cyclability for different identical 0.07 Ah (4.5 mAh/cm²) cells at 25°C.

Evolution of NMC811/graphite button cell (x3, light blue) and pocket cell (x4, dark blue) capacity as a function of number of cycles. Charge/discharge rate: C/2; electrolyte 1M LiPF6 (EC:EMC = 3:7) + 2% VC; capacity 4.1 mAh/cm². Reproducibility of pocket cell measurements is excellent.

Another example of performance measurement

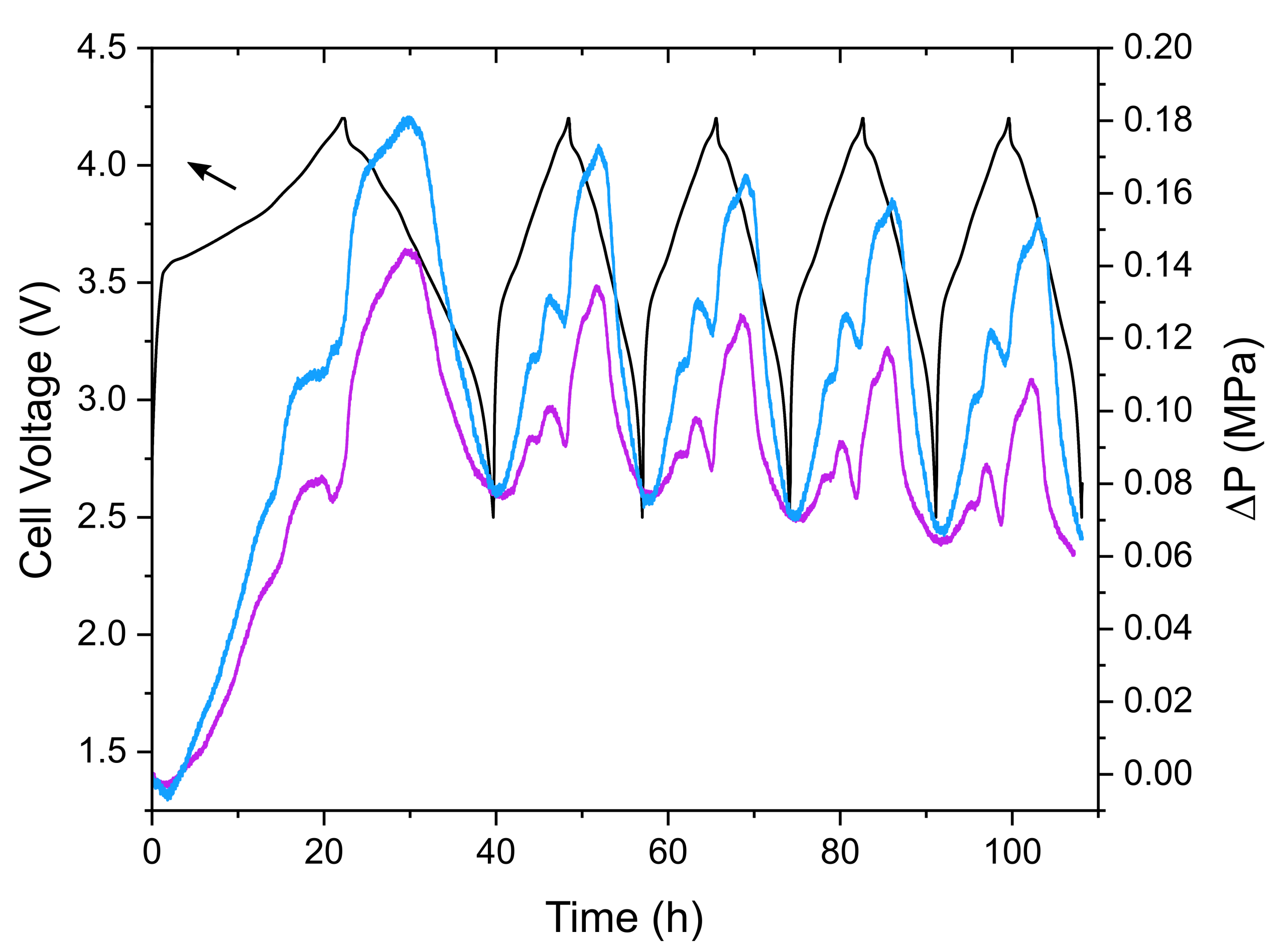
Measurement of the electrochemical performance of pocket cells can be accompanied by operando monitoring of pressure changes in the batteries, thanks to the use of piezoelectric force sensors.

These measurements are particularly relevant to the use of silicon-based negative electrodes, and can be used as anaid in the formulation and selection of anode materials.

Evolution of cell voltage (black) and pressure variation (color) during the formation cycles of SiOx-graphite/NMC811 pocket cells with two different compositions at the negative electrode.

Entrez votre recherche :